Kaya ang Disaster Risk Mitigation at preparasyon para sa kalamidad ay isa ring mahalagang paksa sa ilalim ng kontemporaryong isyu. Sa pagsusuri ng kontemporaryong isyu kinakailangan ang mga sumusunod na kasanayan.
Unang Buwanang Pagsusulit Sa Filipino 6 Mga Sagot2
Ito ay mga isyu na mula noon at hanggang sa kasalukuyan ay hindi pa nabibigyan ng karampatang solusyon at nanatiling bahagi ng mga.

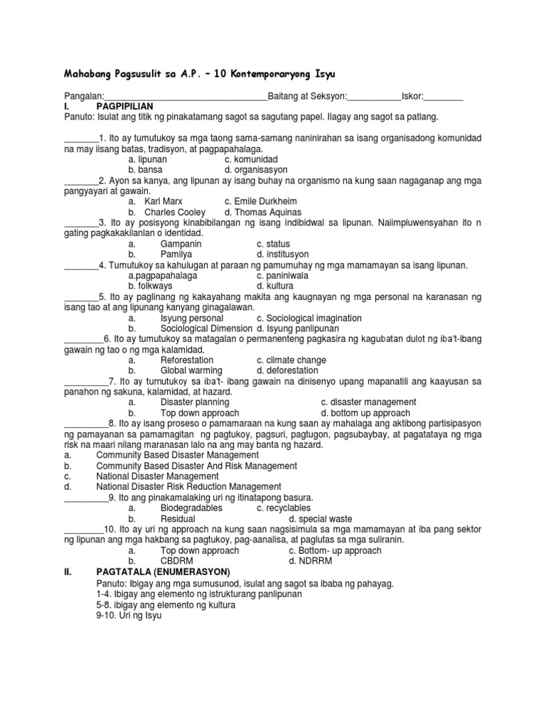
Mga pagsusulit sa kontemporaryong isyu. View AP-Summative-Test-4th-Quarterdocxpdf from Arts 10 at Bicol College in Daraga Albay. Gumamit ba ng ibat ibang sanggunian upang pagaralan ang isyu. LIPUNAN - ay tumutukoy sa mga taong sama-samang naninirahan sa isang organisadong komunidad na may iisang batas tradisyon at pagpapahalaga.
Ang mga kontemporaryong isyu ay mga napapanahong. Mga Paghahanda sa Harap ng Kalamidad Mga isyung pang-ekonomiya. LAGUMANG PAGSUSULIT AP 10 MGA KONTEMPORARYONG ISYU Pangalan_Seksyon_Iskor_ I.
Ito ay tumutukoy sa anumang pangyayari ideya opinyon o paksa sa kahit anong larangan. MGA ISYU SA PAGGAWA Modyul 2 Pangalan. Ito ay pwedeng magamit sa apat na pangunahing kategorya.
Kontemporaryong Isyu Unang Edisyon 2020 Isinasaad ng Batas Republika 8293 seksiyon 176 na Hindi maaaring magkaroon ng karapatang-sipi sa anumang akda ang Pamahalaan ng Pilipinas. Selling a Removal Home. Tumutukoy ito sa mga basurang nagmula sa mga tahanan at komersyal na establisimyento mga basura na nakikita sa paligid mga basura na nagmumula sa sektor ng agrikultura at iba pang basurang hindi nakakalason.
Ang kontemporaryong isyu ay naglalarawan sa mga pangyayari ganap opinyon ideya o paksa tungkol. Mula sa mga isyu pangkapaligiran edukasyon at kalusugan ang kontemporaryong isyu ay makikita sa ibat ibang aspeto ng ating pamumuhay. Isulat ang titik ng wastong sagot sa patlang bago ang bilang.
UNANG LAGUMANG PAGSUSULIT SA KONTEMPORARYONG ISYU Taong Panuruan. GRADE 10 KONTEMPORARYONG ISYU 1. Kasama rin sa kontemporaryong isyu ang mga perenyal na problema sa lipunan.
Unang markahang pagsusulit sa kontemporaryong isyu. Araling Panlipunan 10 Kontemporaryong Isyu. WORD COINAGE o You create a new English word based on what you.
Basta may interest ang mga tao at nagiging isyu sa kasalukuyang panahon ito ay matatawag na kontemporaryong isyu. May pantustos sa libangan computer games ang mga estudyante kaya nagtatrabaho ito. Mga kontemporaryong isyu na makikita sa mga naunang slides.
_____3Ilan ang mga species ng isda mayroon ang Pilipinas. - Here is the thing about this girl - We need to buy some stuff for our project. Para maituring ang isang pangyayari o suliranin na kontemporaryong isyu ito ay.
Ang guro ay pipili ng random ng mga kontemporaryong isyu at lalagyan naman ito ng tanda ng mga mag-aaral. Ito ay magdudulot ng kamalayan sa mga tao upang matugunan nang mabisa ang mga kalamidad at iba pang suliraning pangkapaligiran. Slides Raises and Re-Stumps.
Ito ay sumasaklaw sa kahit anong interes ng tao. Buying a Removal Home. Ito ay tumutukoy sa malapit at impormal na ugnayan ng mga indibidwal.
Sa mga kasalukuyang panahon. Ang kontemporaryong isyu ay tumutukoy as napapanahong isyu. Basahin at unawain ang bawat pangungusap.
Mayaman ang mga magulang ngunit gustong ipamukha sa mga anak ang pait ng buhay kapag walang perang pantustos sa mga pangangailangan at luho nila. Ito ay tawag sa pangyayari o ilang suliraning bumabagabag o gumagambala at nagpapabago sa kalagayan ng ating pamayanan bansa o mundo sa kasalukuyang panahon. Sino ang naapektuhan ng isyu.
UNANG MARKAHANG PAGSUSULIT SA ARALING PANLIPUNAN 10- a. UNANG LAGUMANG PAGSUSULIT SA KONTEMPORARYONG ISYU Taong Panuruan. Benefits of a Removal Home.
Napakahalaga na natatalakay ang kalagayan suliranin at pagtugon sa isyung pangkapaligiran ng PilipinasIsa ito sa mahahalagang paksa sa Mga Kontemporaryong Isyu. Bakit mahalaga ang isyu. Ayon kay Emile Durkheim Ang lipunan ay isang buhay na organismo kung saan nagaganap ang mga pangyayari at gawain.
Naipaliliwanag ang Konsepto ng Kontemporayong Isyu 2. Nasusuri ang kultura bilang mahalagang bahagi ng pag-aaral ng lipunan. Sa alinmang bansa ito ay karaniwan.
Pagkilala sa Primarya at Sekondaryang Sanggunian Pagtukoy sa Katotohanan at Opinyon Pagtukoy sa Pagkiling. Tulong ng mga gabay sa pagsusuri ng kontemporaryong isyu tayo ay higit na makauunawa ng mga nilalaman ng mga isyu narito ang ilang sa mga gabay na tanong. DIVISION OF BATANGAS Unang Markahang Pagsusulit sa Araling Panlipunan 10 Kontemporaryong Isyu 1.
Ito ay maaaring panlipunan pangkalusugan pangkapaligiran at pangkalakalan. Ito ay posisyong kinabibilangan ng isang indibidwal sa lipunan. View UNANG-LAGUMANG-PAGSUSULIT-SA-KONTEMPORARYONG-ISYUdocx from AP 321435 at Trece Martires City National High School.
Ang unemployment ay isa sa mga halimbawa ng isyung pang-ekonomiya sa asignaturang kontemporaryong isyu. Secondary group KONTEMPORARYONG ISYU b. Pagbuo ng Pahinuha Panglalahat at Konklusyon.
Ang unang tatlong mag-aaral na makabubuo ng straight at diagonal na pattern ay BINGO at magkakamit ng premyo mula sa guro. Nasusuri ang kahalagahan ng pagiging mulat sa mga kontemporaryong isyu sa lipunan at daigdig. Ito ay patuloy na kumikilos at nagbabago.
Mahalaga at makabuluhan sa lipuan ang ginagalawan may malinaw na epekto sa lipunan o sa mga mamamayan may matinding impluwensya sa takbo ng kasalukuyang panahon mga temang napag-uusapan at may positibong impluwensya sa lipunan PagsusurisaKontemporaryongIsyu. Araling Panlipunan Ikasampung Baitang Alternative Delivery Mode Unang Markahan- Modyul 1. View AP UNANG LAGUMANG PAGSUSULIT SA KONTEMPORARYONG ISYUdocx from AP 321435 at Trece Martires City National High School.
May sakit ang mga magulang at hindi na kayang magtrabaho. IKALAWANG LAGUMANG PAGSUSULIT SA IKALAWANG MARKAHAN.
Mahabang Pagsusulit Sa Ap Q1 Pdf
2018 2019 Unang Markahang Pagsusulit Kontemporaryo Grade 10 Pdf
No comments